SlideShow JP
  • 探り
  • ログイン
  • ユーザーアカウントの作成
  • Upload
29.40 29.40 糖類(化学的に純粋なものに限るとし、しょ糖、乳糖、麦芽糖

29.40 29.40 糖類(化学的に純粋なものに限るとし、しょ糖、乳糖、麦芽糖

29.37 29.37 ホルモン、プロスタグランジン、トロンボキサン及び

29.37 29.37 ホルモン、プロスタグランジン、トロンボキサン及び

29.34 29.34 核酸及びその塩(化学的に単一であるかないかを問わない

29.34 29.34 核酸及びその塩(化学的に単一であるかないかを問わない

29.33 29.33 複素環式化合物(ヘテロ原子として窒素のみを有するものに

29.33 29.33 複素環式化合物(ヘテロ原子として窒素のみを有するものに

29.31 29.31 その他のオルガノインオルガニック化合物 (Other organo

29.31 29.31 その他のオルガノインオルガニック化合物 (Other organo

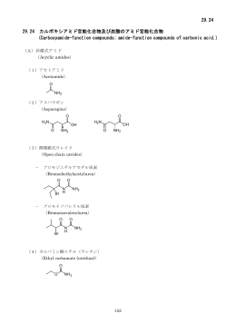
29.24 29.24 カルボキシアミド官能化合物及び炭酸のアミド官能化合物

29.24 29.24 カルボキシアミド官能化合物及び炭酸のアミド官能化合物

29.21 29.21 アミン官能化合物 (Amine-function compounds.) CH3NH2

29.21 29.21 アミン官能化合物 (Amine-function compounds.) CH3NH2

29.06 29.06 環式アルコール並びにそのハロゲン化誘導体、スルホン化

29.06 29.06 環式アルコール並びにそのハロゲン化誘導体、スルホン化

29. 身体運動に伴う筋オートファジー関連タンパク質の変化とその加齢

29. 身体運動に伴う筋オートファジー関連タンパク質の変化とその加齢

29. 福島県いわき市 藤原川

29. 福島県いわき市 藤原川

29. 眼形成手術

29. 眼形成手術

29. 数学的帰納法の練習・ 等式の証明

29. 数学的帰納法の練習・ 等式の証明

29. 奈良県 - 日本医師会総合政策研究機構

29. 奈良県 - 日本医師会総合政策研究機構

29. 傘の持ち主を尋ねる ②相手の傘ではなかった 001A:アラ Bサン コレ

29. 傘の持ち主を尋ねる ②相手の傘ではなかった 001A:アラ Bサン コレ

29. 久留米大学医学部附属病院

29. 久留米大学医学部附属病院

29. バッチ処理要求管理

29. バッチ処理要求管理

29. カルテ保存期間と障害年金の請求

29. カルテ保存期間と障害年金の請求

29. ふらばーるボール・バレー

29. ふらばーるボール・バレー

29. Flat Grill Plates, Toban 炊飯用調理鍋陶板 p.442~445

29. Flat Grill Plates, Toban 炊飯用調理鍋陶板 p.442~445

29-福田地 - 秋葉バスサービス

29-福田地 - 秋葉バスサービス

29-チェーンリンク [更新済み]

29-チェーンリンク [更新済み]

  • « prev
  • 1 ...
  • 23942
  • 23943
  • 23944
  • 23945
  • 23946
  • 23947
  • 23948
  • 23949
  • 23950
  • ... 101217
  • » next
SlideShow © 2026
DMCA / GDPR 報告